业务咨询
【评价原理】
斑马鱼与人类糖脂代谢的相似性主要体现在其消化系统功能的高度保守性以及脂质代谢途径的相似性。斑马鱼的肠道、肝脏、胆囊和胰腺等器官在结构和功能上与人类相似,且其脂蛋白运输、脂质吸收和转运蛋白的功能也与人类高度一致。此外,斑马鱼的肠道微生物群对其营养吸收和代谢的影响也与人类相似,这些相似性使得斑马鱼成为研究糖脂代谢及相关疾病机制的理想模型。高胆固醇饮食会导致血管脂质积累、低密度脂蛋白(LDL)水平升高,LDL在血管内皮下氧化形成氧化型LDL(Ox-LDL),触发内皮细胞炎症和功能障碍,释放趋化因子吸引单核细胞分化为巨噬细胞,巨噬细胞吞噬Ox-LDL后转化为泡沫细胞,释放多种因子诱导平滑肌细胞迁移并形成纤维帽。随着时间推移,泡沫细胞和脂质的积累导致动脉壁增厚,形成动脉粥样硬化斑块。这一过程伴随显著的氧化应激,表现为活性氧(ROS)、丙二醛(MDA)水平及超氧化物歧化酶(SOD)活性变化。蛋黄粉和葡萄糖饲喂斑马鱼两者共同喂养斑马鱼,可使斑马鱼血管内皮损伤,甘油三酯和胆固醇沉积在血管壁。
【实验方案】
我们将受测试斑马鱼分成三组,分别是正常对照组、模型对照组和供试品组。其中正常对照组未经任何处理,模型对照组与服用供试品组都摄入了等量的蛋黄粉和葡萄糖。服用供试品组摄入等量的蛋黄粉和葡萄糖在同时摄入样品。
服用一段时间供试品后,我们可检测(1)尾静脉甘油三酯染色强度;(2)尾部血管胆固醇荧光强度;(3)尾静脉周围中性粒&巨噬细胞数量;(4)ROS荧光;(5)LDLC含量;(6)OxLDL含量;(7)HDLC含量。
【结果展示】

图1. 斑马鱼尾部血管甘油三酯染色典型图
(红色部位为甘油三酯染色形成)
从实验结果可以看到,服用供试品组斑马鱼尾部血管甘油三酯含量较模型对照组明显减弱。

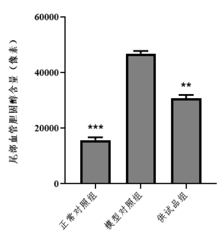
图2. 斑马鱼尾部血管胆固醇含量柱状结果图
从实验结果可以看到,服用供试品组斑马鱼尾部血管胆固醇含量较模型对照组明显降低。
【评价结论】
1.经过每组30尾斑马鱼的对比实验,服用供试品组斑马鱼尾部血管甘油三酯含量、胆固醇含量较模型对照组明显减弱。
2.本实验证实阿托伐他汀钙具有改善动脉粥样硬化功效。
严正声明:以上内容所涉及的核心知识产权归杭州环特生物科技股份有限公司所有。任意第三方机构或个人在未经授权的前提下抄袭、剽窃、恶意传播均属侵害我司正当权益的行为,我司不排除诉诸一切法律手段维护自身合法权益。